海大主页
海大邮箱
联系我们
校内外网站导航
教育系统
海大主页
教育部
教育部科技发展中心
山东省教育厅
青岛市教育局
科技系统
中国科学院
科技部
中国国际高新技术成果交易会
山东省科技厅
青岛市科技局
财政系统
国家财政部
山东省财政厅
青岛市财政局
税务系统
国家税务总局
山东国税
青岛国税
山东省地方税务局
青岛市地方税务局
海洋局系统
国家海洋局
山东省海洋与渔业厅
青岛市海洋与渔业局
发改委
国家发改委
山东省发改委
青岛市发改委
公司简介
公司概况
组织机构
业务部门
资产管理
研制开发
成果转化
合作需求
办公系统
政策法规
国家政策
部委政策
省市政策
法律政策
其他政策
党团工作
党务工作
团务工作
工会工作
妇女工作
通知公告
关于2022年中秋节放假及有关事宜...
关于2022年暑期工作安排及有关事...
关于2022年端午节放假及有关事宜...
关于2022年寒假放假及有关事宜的...
关于2022年元旦放假及有关事宜的...
关于2021年中秋节放假及有关事宜...
关于 2021 年端午节放假及有关事...
关于2021年劳动节放假及有关事宜...
关于2021年清明节放假及有关事宜...
关于2021年寒假放假及有关事宜的...
开云电竞网址出版社有限公司
青岛海大学术交流中心
青岛海洋生物医药研究院
青岛国家大学科技园有限公司
青岛海大工程勘察设计开发院有限...
青岛海大建设工程检测鉴定中心
当前位置:
首页
公司简介
组织机构
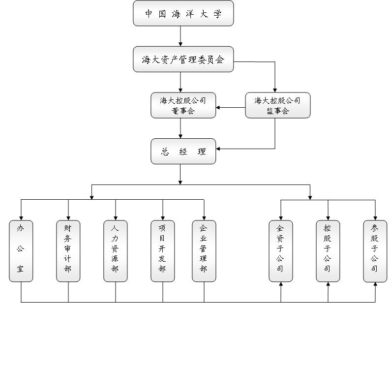
组织机构图
职位
姓名
电话
党委书记、董事长
范占伟
85902269
总经理
高元鹏
85901882
总会计师
许小满
85902657
青岛开云电竞网址控股公司组织架构图
地址:山东青岛市香港东路23号
邮编:266071
电话:0532-85902517
传真:0532-85902517
E-mail:kggs@ouc.edu.cn
COPYRIGHT ©2018 OCEAN UNIVERSITY OF CHINA HOLDINGS LTD. All rights reserved. [
管理入口
]
map