漂流式海气界面浮标( Drifting Air-Sea Interface Buoy,DrIB)
漂流式海气界面浮标是一种我国自主创新研发的低成本、轻质化、免维护的小型海气界面观测系统,主要随流漂浮开展海气界面处关键气象和水文传参数的高频次采集,观测数据质量达到国际先进水平,可满足全球海域业务化观测需求,该观测系统为海洋分析预报、海洋环境现场保障、海气相互作用及全球气候变化提供了一种高效费比的新型低成本观测手段。
DrIB设计

技术发展

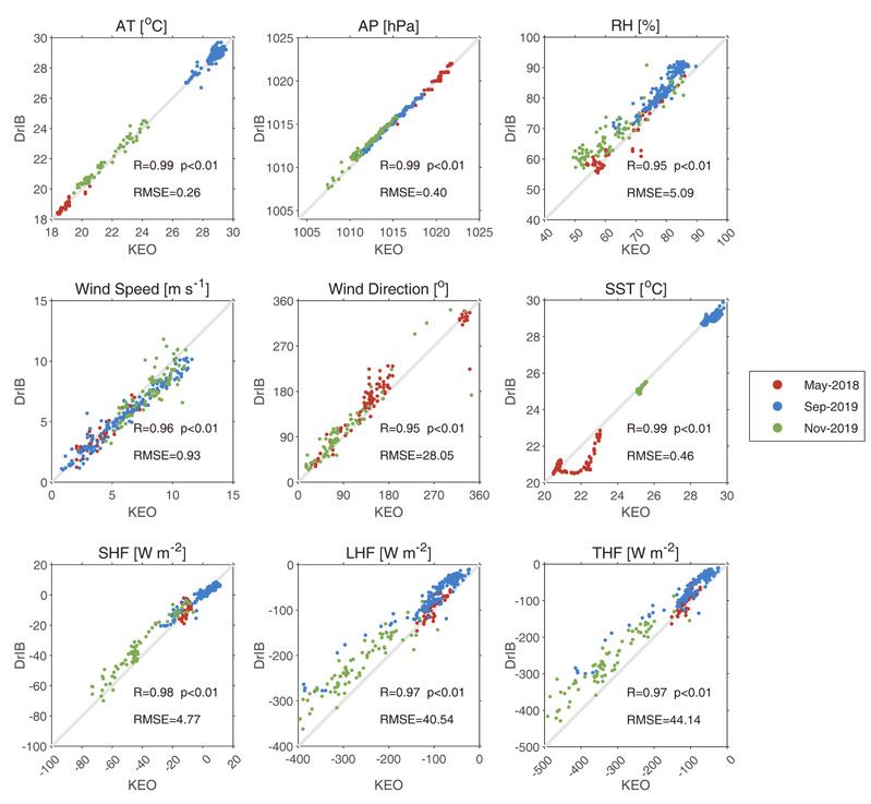
KEO浮标比测

准业务化能力

漂流式海气界面浮标是一种我国自主创新研发的低成本、轻质化、免维护的小型海气界面观测系统,主要随流漂浮开展海气界面处关键气象和水文传参数的高频次采集,观测数据质量达到国际先进水平,可满足全球海域业务化观测需求,该观测系统为海洋分析预报、海洋环境现场保障、海气相互作用及全球气候变化提供了一种高效费比的新型低成本观测手段。
DrIB设计

技术发展

KEO浮标比测

准业务化能力
