海气界面的动量、热量、和物质通量交换是海洋与大气之间重要的物理过程,在海气相互作用研究中扮演着十分重要的角色。海气界面处的感热、潜热交换和二氧化碳等物质交换对于气候变化具有调节作用,动量交换则产生了海浪,海浪反过来又对海气界面动量、热量和物质交换过程产生影响。因此准确参数化海气界面各物理过程对于相应的理论、观测乃至海洋-大气耦合数值模式的研究均具有重要的实用价值。
基于此,本年度针对不同波浪状况下海浪对于海气界面边界层的影响进行了研究。经过几十年的研究,人们给出了风浪情况下动量通量随风速、海浪状态的变化关系。但近年研究显示,分布广泛的涌浪给海气界面动量通量的准确参数化带来较大问题。针对该问题,本文综合考虑大气不稳定以及涌浪因素,理论探讨它们对大气边界层的影响。为刻画该问题,本研究在常通量层假定基础之上,将风应力分为分子粘性、湍流应力和浪致应力三部分。湍流应力我们将Makin and Kudryavtse (1999)湍流封闭方案拓展到非中性条件下,并和Monin-Obukhov Similarity Theory(MOST)做了对比(图1)。结果显示在涌浪情况下,风速廓线不再随着高度对数下降,而是出现一个奇点:奇点之上风速廓线随着高度增加降低,之下随着高度增加而增大,说明作为基石的MOST并不适用;当考虑大气稳定度时,浮力的可以明显的影响奇点的大小。进一步的观测证明了该观点,综合考虑浮力和涌浪,模型与观测数据吻合较好。

图1:风廓线随着高度变化及大气不稳定对风廓线廓线影响,细线为Monin-Obukhov Similarity Theory结果,实线和虚线分别为本文和混合长结果,红色和蓝色分别代表不稳定和稳定情形
进一步,我们的研究综合了海洋实测与实验室观测数据,全面分析了风浪对于风应力(包括海表面粗糙度和拖曳系数)的影响。波陡作为海浪内部参数代表着波浪的稳定性且与海表面粗糙度直接相关。波龄作为海浪外部参数代表着风给波浪输入能量的能力。在中低风速下,波陡单调增加同时伴随着波龄的减小,与风浪成长关系一致。在高风速下,波陡由于波浪的破碎将达到最大值并保持稳定,然而波龄随着风速的增加继续减小。无量纲的海表面粗糙度(海表面粗糙度/有效波高)作为波陡的参数比波龄更加适合,这是因为波高通过风浪成长关系与波龄相联系。在中低风速下,波陡可被波龄代替;拖曳系数随风速的增加而增加,对海浪状况有较弱的依赖性。在高风速下,海浪的破碎使得波陡和波龄之间的关系不在成立,拖曳系数随着波龄的减小显著减小并且随风速增加趋于平稳(图2)。

图2:不同波龄β范围下,拖曳系数CD随风速U10的变化
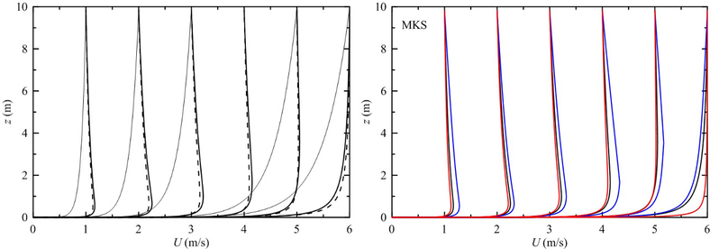
当前,高风速下拖曳系数的估算依然存在着一定的欠缺。基于此问题,本研究利用中国南海台风Megi期间两个次表层浮标海流和温度剖面的观测数据,采用两个基于湍封闭和块体模型的自下而上的方法推算了高风速下的拖曳系数。研究中利用了湍封闭模型进行了数值实验,检验了上混合层观测缺失对风应力估计和上层海流重构的影响。两种方法推导的风应力基本保持一致,随着风速的加强,风应力迅速增加,然后保持不变。研究根据参数化的台风模型估算了相应的拖曳系数,结果表明当风速达到30米/秒时,拖曳系数将达到最大值,之后随风速增加不再增长。由于忽略非线性项以及风速模型本身的误差,最大拖曳系数的误差约为0.5。最大拖曳系数所对应的阈值风速误差约为5米/秒。由于风速所引起的拖曳系数推算误差约占24%。这些研究结果表明自下而上的方法可以用来估计台风过境时风应力强迫的拖曳系数(图3)。
上述研究成果发表在Journal of Physical Oceanography,Tellus A等期刊上。

图3:左图为基于GOTM和Bulk模型计算的拖曳系数随风速的表达式,右图为不同参数化方案下拖曳系数随风速的变化,阴影部分表示由于风速引起的参数化的不确定性