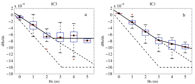
极区海浪对于两极的海洋环境变化有着重要影响,海浪与海冰的相互作用是两极地区海洋研究不可忽视的重要物理过程,引起越来越多的关注。本研究选取普适性、应用性较强的粘弹性海冰-波浪模型来进行敏感性分析和数值模拟,全面阐明了海冰参数、波浪参数间的相互作用。利用南极海冰边缘区两次实地考察(Doble & Wadhams, 2006; Kohout et al., 2014)的冰区波浪观测数据进行分析,采用植入粘弹性海冰-波浪模型的第三代海浪模式WAVEWATCH III进行数值追算,通过源项分析发现局地风能输入、波-波非线性相互作用对于海冰覆盖海域海浪传播的影响不容忽视,尤其是针对高频波动和在大风天气下,这两项机制对于观测到的表面波衰减系数有重要影响。这两项机制会一定程度上抵消单纯由海冰引起的波浪能量衰减,进而可能导致大波的有效波高随传播距离呈线性衰减,以及表面波能量指数衰减系数随着波动周期的增长呈现rollover分布。另外,本研究还发现波动在海冰覆盖海域的传播距离和局地风速与rollover周期正相关,与短周期波动的表面波能量的指数衰减系数负相关。以上成果发表在Geophysical Research Letters,Journal of Geophysical Research: Oceans等期刊上。

图:利用WAVEWATCH III模拟所得的有效波高的衰减率分布(箱须图)