在国家自然科学基金等项目资助下,重点实验室近期在DOM引起的甲基汞光降解机理方面取得新进展。
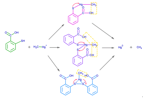
重点实验室李雁宾教授等在前期的研究工作中发现了甲基汞-溶解性有机质(DOM)络合物直接光解的甲基汞光降解新途径,并通过估算证明该途径是自然水体甲基汞光降解的主要途径(ENVIRONMENTAL SCIENCE & TECHNOLOGY,2017, 51, 3784;ENVIRONMENTAL SCIENCE & TECHNOLOGY,2014, 48, 7333)。该途径的发现表明DOM在甲基汞光降解中起着重要作用,然而目前对于DOM中引起甲基汞光降解的主要官能团尚不清楚。近期李雁宾教授、指导的硕士研究生张晓燕与中国科学院生态环境研究中心阴永光研究员等合作,通过使用具有不同官能团的有机配体系统研究了DOM分子结构对甲基汞光降解的影响,发现:巯基和苯基是DOM中控制甲基汞光降解的主要官能团,而苯环上与巯基相邻的其它取代基的类型(羧基,羟基,氨基)和位置(邻位,间位,对位)也是影响甲基汞光降解的重要因素。依据相关实验发现进一步提出了DOM模式化合物邻巯基苯甲酸引发甲基汞光降解的机制:甲基汞与邻巯基苯甲酸中的巯基形成Hg-S键,导致甲基汞中甲基上的负电荷增加,进而使得邻巯基苯甲酸中的–COOH将质子转移到甲基上,并最终导致Hg-C键的质子分解并释放CH4。

该成果近期发表在国际环境学领域著名学术期刊Water Research 上,2016-2017影响因子为6.942。
文章链接:https://www.sciencedirect.com/science/article/pii/S0043135418302513
Citation:Xiaoyan Zhang, Yanbin Li, Gang Feng, Chao Tai, Yongguang Yin, Yong Cai, Jingfu Liu. Probing the DOM-mediated photodegradation of methylmercury by using organic ligands with different molecular structures as the DOM model.Water Research, 2018,138, 264-271

