近日,Journal of Climate在线发表了海洋与大气学院最新科研成果“Enhanced ENSO-Unrelated Summer Variability in the Indo–Western Pacific under Global Warming”(全球变暖背景下印-太地区独立于ENSO的夏季年际变率增强),该成果第一作者是物理海洋教育部重点实验室王传阳博士,通讯作者是海洋与大气学院郑小童教授。
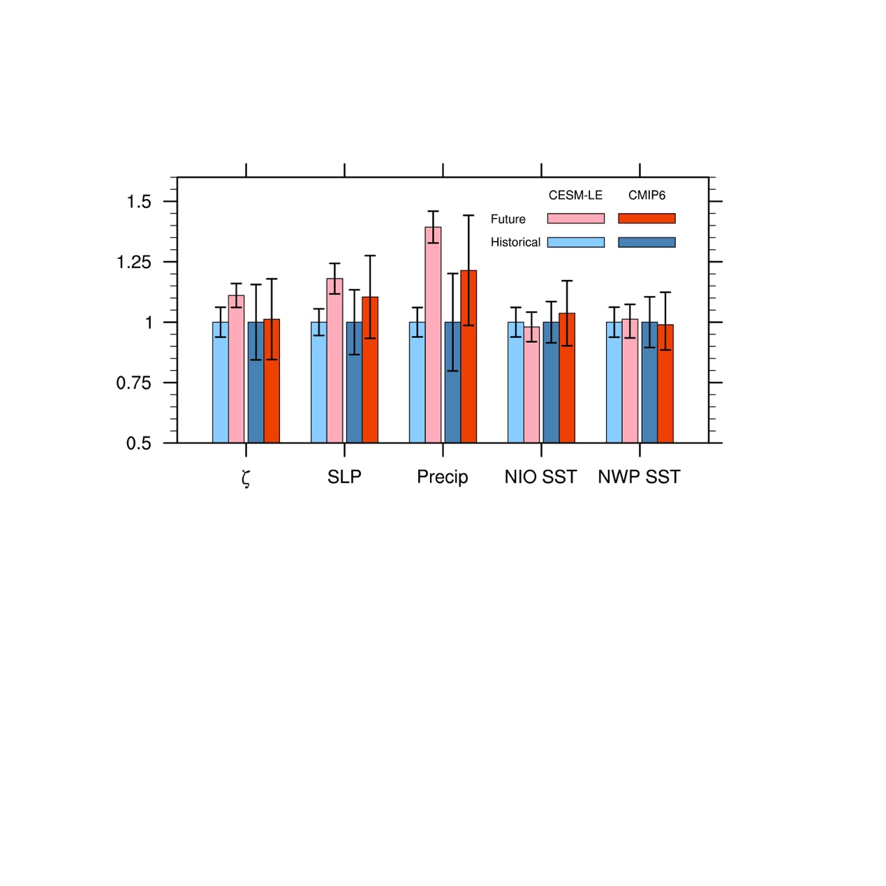
印-太地区夏季气候异常与我国密切相关,前人工作表明ENSO和独立于ENSO的因素都能够激发一个区域海气耦合模态来影响印度洋-西太平洋地区的夏季气候年际变率。该模态表现为热带印度洋和南海的SST暖异常、西北太平洋SST冷异常、位于西北太平洋低空的异常反气旋,以及东亚季风环流和降水异常。本研究聚焦于其中独立于ENSO的部分,发现降水、环流异常在全球变暖下有所增强,但北印度洋和西北太平洋SST异常变化并不显著(图1)。
为进一步探究造成这一变化的原因,本研究比较了CESM-LE和CMIP6的历史模拟和未来情景试验。结果表明,降水、环流年际变率的增强主要与西北太平洋反气旋增强有关。全球变暖下,大气水汽含量增加,使得异常反气旋能够激发更强的降水异常,从而导致更强的非绝热加热,最终进一步加强环流异常(图2)。对于海洋而言,由于上述环流和降水导致的潜热和太阳短波辐射异常变化相反,两者在一定程度上相互抵消,因此,该区域SST的年际变率在全球变暖下没有明显的变化。本研究的成果为进一步提高印-太地区未来气候预测能力提供理论基础。

图1. 印-太地区独立于ENSO的环流、SLP、降水和SST异常的年际变率在历史模拟和未来情景试验中的变化。

图2. 独立于ENSO的西北太平洋反气旋引起的降水异常在全球变暖下变化的分解。
发表文章列表:
Wang C.-Y, Zheng X.-T., Xie S.-P. (2023) Enhanced ENSO-Unrelated Summer Variability in the Indo–Western Pacific under Global Warming. Journal of Climate, 36(6):1749–1765.
文章链接:https://doi.org/10.1175/JCLI-D-22-0450.1
