2022年5月,Journal of Geophysical Research: Oceans在线发表了海洋与大气学院的最新科研成果“Significant Difference of the Summertime Eastward Jet Enhancement in the South China Sea during the El Niño Developing Summers of 1982 and 1997”(南海夏季东向急流在1982年和1997年厄尔尼诺事件发展阶段的显著差异),该成果第一作者是海洋与大气学院博士研究生孙琰,通讯作者是海洋大气学院/物理海洋教育部重点实验室兰健教授。
夏季的南海西边界流沿着越南沿岸自南向北流动,在大约11.2°N分离出一支向东的离岸急流(Summertime Eastward Jet,简称SEJ)。SEJ是南海上层环流的重要组成部分,由于涉及到显著的上升流运动,SEJ对局地的气候和生态环境系统具有重要作用。兰健教授团队已有研究成果已经阐明了SEJ与南海南部西边界流在年际尺度上具有良好的同步性,并探讨了相关机制(Sun和Lan,2021)。最新研究进一步表明,El Niño事件的演变特征会影响南海夏季风异常场的空间结构,进而引起SEJ对不同El Niño事件的响应存在显著差异(Sun和Lan,2022)。
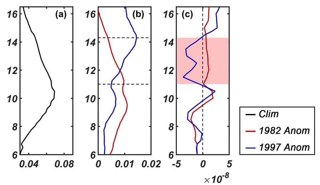
基于SODA3.3.1再分析资料,该成果发现1982年和1997年夏季的SEJ伴随El Niño事件的发展均有增强,但是两次增强的幅度有显著差异:与气候态平均值相比,SEJ强度在1982年的增幅为256%,在1997年的增幅仅为52%(图1)。El Niño发展年的SEJ增强源于南海夏季风的加强,而增强幅度的显著差异则主要归因于风场空间结构的差异性(图2):1982年夏季,风应力异常场加强了气候态的拱形结构,有效地加强了风应力旋度,进而使得SEJ增强;1997年夏季,风应力异常场则没有形成拱形结构,从而减弱了SEJ的增幅。本研究通过构造风应力异常场进行敏感性试验,进一步证实了风应力异常场的拱形结构对SEJ增幅强度的重要性。南海夏季风异常场的空间结构与El Niño事件的演变特征有关,使得El Niño事件导致的异常反气旋北翼处于南海不同的纬度,分别对应着1982年和1997年夏季风应力异常场的差异。

图1. 基于SODA3.3.1资料的夏季平均(a-c)经向断面111.2ºE的纬向流速分布图和(d-f)海表面温度场。

图2. 基于SODA3.3.1资料的夏季(a)气候态纬向平均风应力分布(N m-2),由黑线表示;纬向平均(b)风应力异常(N m-2),红线代表1982年异常,蓝线代表1997年异常。
发表文章列表:
Sun, Y., and J. Lan*, 2022: Significant difference of the summertime eastward jet enhancement in the South China Sea during the El Niño developing summers of 1982 and 1997. Journal of Geophysical Research: Oceans, 127, e2022JC018687.
Sun, Y., and J. Lan*, 2021: Summertime eastward jet and its relationship with western boundary current in the South China Sea on the interannual scale. Climate Dynamics, 56, 935-947.
文章链接:https://agupubs.onlinelibrary.wiley.com/doi/10.1029/2022JC018687
