随着“一带一路”倡议的不断深入推进,海上丝绸之路沿线聚集着大量的珊瑚礁国家,基础设施建设正在如火如荼展开,如我国援建的中马(马尔代夫)友谊大桥的桥梁桩基就是完全建立在珊瑚岛礁地层结构之上。目前,国内外对生物成因的珊瑚礁灰岩(碳酸盐岩类)中嵌岩桩如何设计尚无规范,且缺乏相关经验借鉴。
大桥位于马尔代夫群岛潟湖与外海交汇处,海风强劲,无风涌浪高达3米,洋流多变,海水流速大,水深达27~46米,再加上珊瑚礁地层、高辐射、高湿度、高盐等多方面因素,工程条件极为恶劣。为科学、合理选取嵌岩桩设计参数,中科院武汉岩土所海洋工程地质珊瑚礁科研团队对取自马尔代夫马累岛和机场岛桥基位置的珊瑚礁灰岩开展桩基承载特性模拟试验,首次获得珊瑚礁灰岩嵌岩模型桩承载性能演化规律,揭示了桩—岩相互作用机制。
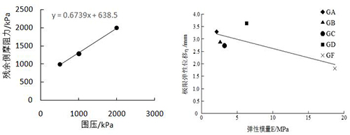
研究结果表明,桩岩界面先后经历弹性剪切、剪应力跌落和摩擦剪切三个不同阶段:弹性剪切阶段,界面剪切变形以弹性变形为主,极限弹性位移η呈现出随弹性模量E增大而递减的趋势;剪应力跌落阶段,应力软化加剧,并很快过渡到界面的摩擦剪切。试验中还发现,在低围压下,礁灰岩的残余侧摩阻力与饱和单轴抗压强度呈正相关关系;随着围压的增大,残余侧摩阻力受围压影响较大。
中马友谊大桥于2015年12月30日开工,预计2018年8月20日竣工,目前已完成总工程量的50%。相关研究成果为中马友谊大桥嵌岩桩的科学设计提供了关键技术参数和理论支撑,确保了大桥建设施工的顺利进行。
该研究受国家重点基础研究发展计划(973 计划)(NO.2013CB956104);国家自然科学基金项目(No.41330642、No.41372316、No.41472287、NO.41372318)资助。

礁灰岩的正交偏光图像理想荷载位移关系曲线

残余侧摩阻力与围压的关系极限弹性位移与弹性模量的关系
